数字化转型网数据专题将关注数据治理、数据质量管理、数据架构、主数据管理、数据仓库、元数据管理、数据备份、数据挖掘、数据分析、数据安全、大数据、数据合规、等数据相关全产业链相关环节。

一般系统可以从几种结构来表示公司的行政和组织结构,分别为会计、物料管理、销售与分销的角度来构成表示公司结构,也可以是这几种角度的组合。组织结构构成所有业务事务处理的框架。
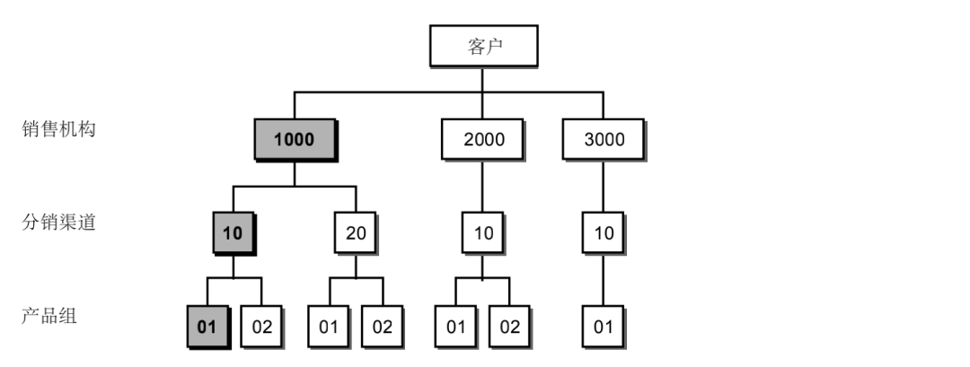
一、销售与分销业务组织结构
销售和分销中的业务
机构由销售机构、分销渠道和产品组这些元素表示。下图表明了这些机构组织构成的关系。

在销售机构1000内,销售和分销事务通过所有的分销渠道及所有的产品组来完成。在销售机构2000内,产品组01和产品组02的产品都仅通过分销渠道10来销售;在销售机构3000 内,只销售产品组01的产品,并且只通过分销渠道10来销售。
销售机构数字化转型网www.szhzxw.cn
销售和分销中的机构,在系统中,用销售机构来表示。每个销售机构代表一个行政上的销售单元。例如,负责产品的可靠性及客户提出的其它要求执行的机构。可以通过销售机构完成区域性的市场的划分。每个销售事务都是在某个销售机构内部完成处理的。
分销渠道
为了以最好的可能方式供应市场,销售和分销与各种不同的分销渠道一起工作。例如,典型的分销渠道有,批发商、零售商、工业客户或来自工厂的直销。在某个销售机构内部,一个客户可以通过多个分销渠道来获得供应。另外,与销售有关的物料主数据,如价格,最小订单数量、最小交货数量及交货场所,依各销售机构和分销渠道的不同而有所区别。
产品组
针对不同的产品销售性质,可以定义一个销售机构的特定产品组。可以为广范围的系列产品定义产品组。对于每个产品组,可以为之制订特殊客户协议,如,部分交货、价格及付款要求。在一个产品组内,可以执行统计或建立单独的规则。数字化转型网www.szhzxw.cn
销售范围
销售范围定义为销售机构、分销渠道及产品组的组合。例如,在上图中,销售机构1000、分销渠道10及产品组01的组合组成了一个销售范围。通过销售范围,可以指明哪些物料能够通过某个分销渠道销售。在销售范围内,可以进行分析工作。如,可以分析某个销售范围的销售。可以为按销售范围定义所有与销售有关的数据。如,可以为每个销售范围定义一份特殊客户价格协议。
二、销售与分销人员组织结构
销售的人员组织机构由销售办公室、销售小组及销售代表构成。下图表示了一个业务开发和销售中的样板机构。

销售办公室
业务开发和销售中的机构在地理上采用术语销售办公室来定义。一个销售办公室可以看成是一个子公司。销售办公室被指派到销售范围。如果输入在某个销售范围内的销售办公室的销售订单,该销售办公室必须指派给那个地区。数字化转型网www.szhzxw.cn
销售小组
销售办公室的工作人员可以分为销售小组。例如,可以为每个单个产品组定义销售小组。
销售个人
采用单独的个人主记录数据来管理与销售代表有关的数据。可以在个人主记录中指派某个销售个人属于某个销售小组。
三、销售与分销装运组织结构

装运点
负责计划及处理向客户交货以及将交货再充满自己的仓库。一次交货通常仅由一个装运点来完成。装运点依赖于下列标准∶
• 交付工厂数字化转型网www.szhzxw.cn
• 装运类型 (如火车、卡车)
• 必要的装载设备
装载点
装运点可以分为装载点。例如,道1,道2和道3 属于装运点 转运站。下图表示装运中的一种可能的机构。
四、会计中的组织结构
在系统中可以采用术语客户和公司代码来表示一个组。通常,一个客户代表一个组。同时,公司代码从独立的会计单位的意义上代表一个公司。公司代码在法律意义上是相互独立的。下图表明了客户是如何划分到公司代码的。数字化转型网www.szhzxw.cn
五、物料管理中的组织结构
为监视物料的库存,能够在系统中存储物料的存放场所是必要的。可以使用术语工厂和存储地点来表示在系统中存储物料的存放场所。工厂可以是一个生产地点,也可以是一个单独的存储地点,还可以是位置上接近的库存的存储地点的联合。每个工厂被指派给一个公司代码。这保证仓库及库存量能够按每个公司来分别管理。下图表明了物料是如何划分到工厂和存储地点的。数字化转型网www.szhzxw.cn

六、公司代码与销售机构及工厂的关系
通过指派销售机构和工厂,建立了公司代码和销售机构之间的联系。尽管工厂通常关联到一个公司代码,但可以被指派给不同的销售机构。在一个公司代码内可以有几个销售机构在活动。业务事务也可以在不同的公司代码之间进行(例如,在公司间的销售处理期间)。下图显示了可能的公司代码、销售机构和工厂的分派。数字化转型网www.szhzxw.cn

工厂1, 工厂2和工厂3 属于公司代码1。销售机构1销售来自工厂1和工厂2的货物;销售机构2销售来自工厂2和工厂3的货物;销售机构1和销售机构2还可以采用公司间的销售处理来销售来自工厂4和工厂5的货物。
七、销售机构与工厂及物料的关系
按照分销渠道为各个销售机构定义其允许销售的货物的工厂,以便一个销售机构可以销售来自对应工厂的货物。一个工厂可以被指派给不同的销售机构。所有这些销售机构可以销售来自该工厂的货物。可以从所采用的分销渠道的角度来进一步区分属于一个销售机构的所有工厂。
下图表示一种销售机构和工厂的关系。销售机构1000销售来自工厂1000和工厂2000和货物,销售机构2000和销售机构3000仅分别销售来自工厂2000和工厂3000的货物。数字化转型网www.szhzxw.cn

声明:本文来自网络,版权归作者所有。文章内容仅代表作者独立观点,不代表数字化转型网立场,转载目的在于传递更多信息。如有侵权,请联系我们。数字化转型网www.szhzxw.cn
数字化转型网数据专题包含哪些内容
数字化转型网数据专题将关注数据治理、数据质量管理、数据架构、主数据管理、数据仓库、元数据管理、数据备份、数据挖掘、数据分析、数据安全、大数据、数据合规、等数据相关全产业链相关环节。
数字化转型网数据专题包含: 数字化转型网(www.szhzxw.cn)
1、数据相关外脑支持:100+数据相关专家、100+数据实践者、1000+相关资料
2、数据研习社:与全球数据相关专家、实践者共同探讨相关问题,推动产业发展!
3、国际认证培训:目前已引进DAMA国际认证CDMP,其他国内外认证也在逐步引进中
4、典型案例参考:与数字化转型网数据要素X研习社社员一起学习典型案例,共探企业数据落地应用

本文由数字化转型网(www.szhzxw.cn)转载而成,来源于产品真经;编辑/翻译:数字化转型网Jack。






